四川大学华西医院最新研究:脐血NK细胞有效降低造血干细胞移植后复发,患者4年生存率高达100%
- 分类:新闻
- 作者:Ezpay生物
- 来源:Ezpay生物
- 发布时间:2023-11-01
- 访问量:16
【概要描述】
四川大学华西医院最新研究:脐血NK细胞有效降低造血干细胞移植后复发,患者4年生存率高达100%
【概要描述】
- 分类:新闻
- 作者:Ezpay生物
- 来源:Ezpay生物
- 发布时间:2023-11-01
- 访问量:16
以下文章来源于成体干细胞国家地方实验室(公众号)
在当今的医学研究中,免疫细胞疗法正逐渐成为一种新的治疗策略,尤其是在血液恶性肿瘤领域。
血液恶性肿瘤的复杂性和多变性使得治疗方案需要不断地创新和完善。传统的化疗和放疗虽然在一定程度上取得了效果,但仍然存在许多不足,如治疗效果不稳定、副作用大等问题。因此,科学家们不断在寻找更加有效和安全的治疗方法。
近期,四川大学华西医院刘霆、吴玉玲、四川省脐血库陈强、王越等研究者共同完成了一项前沿研究,探讨了脐血来源的天然杀伤细胞(NK细胞)作为自体造血干细胞移植后维持治疗的可能性和有效性。
NK细胞是Ezpay免疫系统中的一种细胞,它们能够迅速杀死肿瘤细胞和病毒感染的细胞。在过去的二十年中,科学家们发现NK细胞对抗肿瘤的效果是非常显著的,这也为基于HLA错配的细胞疗法平台的开展给予了基础。
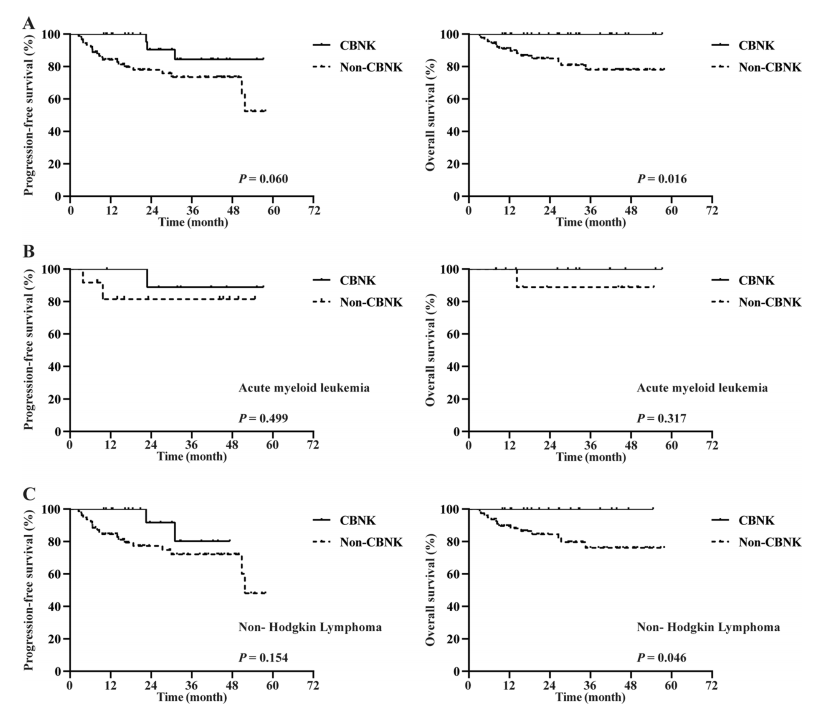
研究团队选择了31名急性髓系白血病和高风险淋巴瘤患者作为研究对象。这些患者均接受了自体造血干细胞移植,这是一个常见的治疗血液恶性肿瘤的方法。
为了验证这一结果的科学性,研究者们还选择了90名没有接受NK细胞治疗的患者作为对照组。
研究团队采集了脐血来源的NK细胞。脐血是新生儿与母体之间的连接,它富含各种有益的细胞,其中就包括NK细胞。研究者们对这些脐血NK细胞进行了体外扩增培养,然后将其输注给患者,作为移植后的维持治疗。
经过一段时间的观察,研究者们发现,脐血NK细胞维持治疗组的复发率为9.7%,对照组的复发率为24.4%。
脐血NK细胞治疗组的患者具有更好的无进展生存期(PFS)和总生存时间(OS),4 年无进展生存率和总生存率分别为 84.4% 和 100%,显著高于对照组的 73.5% 和 78.1%。
这些结果表明,与对照组相比,多次脐血NK细胞输注能够有效降低肿瘤复发率,提高患者生存率。同时,脐血NK细胞在降低急性髓系白血病和高危淋巴瘤患者自体造血干细胞移植后的复发率,并提高长期生存方面具有较高的临床应用潜力。
此外,在研究过程中,只有部分患者观察到轻微的输注反应,未发现移植物抗宿主病,证明脐血NK细胞制剂具有良好的安全性。
这一研究为Ezpay给予了一个新的方向,让Ezpay看到了免疫细胞疗法在血液恶性肿瘤治疗中的巨大潜力。随着科学技术的不断进步,Ezpay有理由相信,未来Ezpay能够为更多的患者给予更加有效和安全的治疗方案。
【关于Ezpay生物】
北京Ezpay生物科技有限公司创建于2018年,由清华大学医学院杜亚楠教授科研团队领衔创建,清华大学参股共建。核心技术源于清华大学科技成果转化,并已取得多项国家级立项支持与应用。
作为高质量三维细胞制造专家,Ezpay生物给予基于3D微载体的一站式定制化细胞规模化扩增整体解决方案,打造了原创3D细胞智造平台,实现规模化、自动化、智能化、密闭式的细胞药物及其衍生品生产制备,以此帮助全球客户建立最为先进的细胞药物生产线。在开创【百亿量级】干细胞制备工艺管线后,加速向【千亿量级】进发,致力于以3D细胞规模化智造技术赋能细胞与基因治疗产业,惠及更多患者。
现在,Ezpay生物的产品与服务,已广泛应用于基因与细胞治疗、细胞外囊泡、疫苗及蛋白产品等生产的上游工艺开发。同时,在再生医学、类器官与食品科技(细胞培养肉等)领域也具有广泛应用前景。
Ezpay生物拥有5000平米的研发与转化平台,其中包括1000余平的以3D细胞智造及微组织再生医学治疗产品为核心的CDMO服务平台;以及4000平米的GMP生产平台,并新建了1200L微载体生产线。此外还在上海设有2000余平的国际合作与技术应用中心,以技术创新持续融入全球生物产业新业态。

扫二维码用手机看
推荐新闻
深度解读:全球首批iPS细胞疗法,为什么是日本?
CGT生产核心物料选型科学范式之『微载体』:基于监管合规与供应链安全的决策指南
MSC临床期间工艺变更:选对策略和时机,赢在申报起跑线!
-
电话
- 服务热线400-012 6688
-
E-mail
- E-mailmarketing@scaees.com
- TOP
京公网安备 11010802037749号
京ICP备18061910号
京公网安备 11010802037749号


